Calculadora IPC

Calculadora IPC, es una aplicación desarrollada por el Instituto Nacional de Estadísticas que permite calcular la tasa de variación del Índice de Precios al Consumidor (IPC) entre dos periodos. Adicionalmente, a través de esta herramienta es posible actualizar valores monetarios expresados en pesos, utilizando la variación oficial del período.

Revise el documento "Uso Calculadora IPC" , en el cual encontrarás ejemplos prácticos para su utilización.

Período de Cálculo

Inicio

Término

Valor a Ajustar

Variación del Período

Nota: Internamente se realizan los cálculos con 12 decimales y las variaciones resultantes correspondientes a las series empalmadas para fines de reajustabilidad. La variación presentada es a un decimal, ya que la variación oficial del índice también es a un decimal.

A continuación se muestran 3 ejemplos de variaciones que se pueden realizar con la calculadora, dependiendo del mes de inicio y término que ud. seleccione:

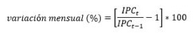
  1. Variación mensual (%): Corresponde al cambio porcentual en el índice del mes en curso (t) respecto del mes anterior (t-1).

  2. Variación acumulada en el año (%): Corresponde a la variación (porcentual) del índice del mes en curso (t) respecto a diciembre del año anterior.

  3. Variación anual o 12 meses (%): Corresponde a la variación (porcentual) del índice del mes en curso (t) respecto de igual mes del año anterior.